Concept News
Radio Stella International.
Featuring their 1992 Newsletter and some studio pictures
Stella Transmitters (general)

The Stella 7.446 Mhz. Transmitter

The 6.296 Mhz. Transmitter

Another Transmitter. 9.980 Mhz.?

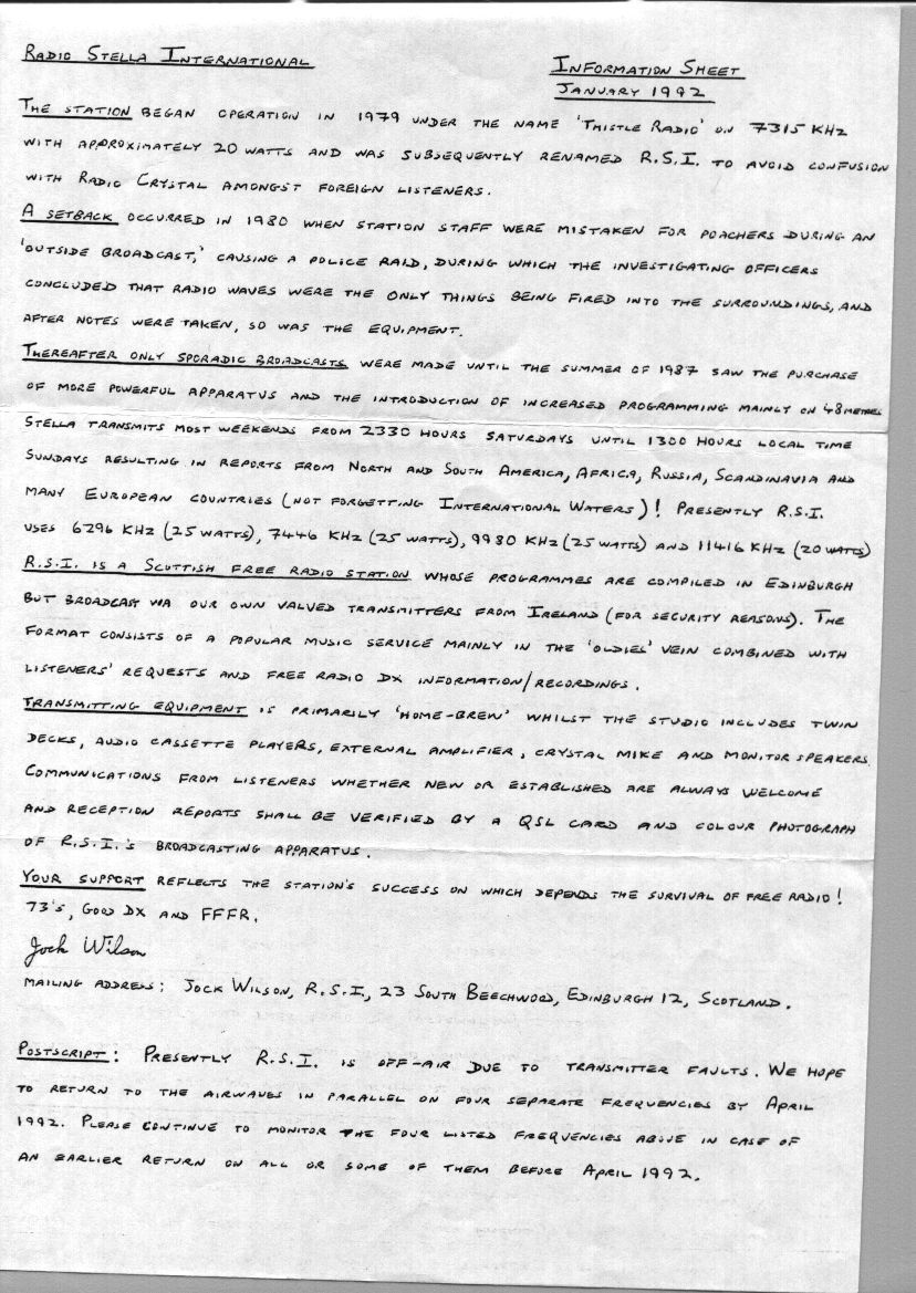
Stella Newsletter January 1992. Originally written by Jock Wilson.
